This group of building descriptors relate to the secondary HVAC systems. There is not a one-to-one relationship between secondary HVAC system components in the proposed and standard design since the standard design system is determined from building type, size, and number of floors. The standard design for a given building descriptor indicates the appropriate value for each applicable system type.
HVAC SYSTEM NAME
Applicability: All system types.
Definition: A unique descriptor for each HVAC system.
Units: Text, unique.
Input Restrictions: When applicable, input should match the tags that are used on the plans.
Standard Design: None.
Standard Design: Existing Buildings: None.
SYSTEM TYPE
Applicability: All system types
Definition: A unique descriptor which identifies the HVAC system type. The System Type indicates the cooling and heat source, and whether the system serves a single zone or multiple zones.
Units: List from the choices below
Input Restrictions: PTAC – Packaged Terminal Air Conditioner
PTHP – Packaged Terminal Heat Pump
SZAC – Single-zone Air Conditioner
SZHP – Single-zone Heat Pump
SZDFHP – Single-zone Dual Fuel Heat Pump
PVAV* – Packaged Variable Air Volume (VAV) with Reheat
VAV* – Built-up VAV with Reheat
SZVAV-AC – Single Zone VAV Air Conditioner
SZVAV-HP – Single Zone VAV Heat Pump
SZVAV-DFHP – Single Zone VAV Dual Fuel Heat Pump
HV – Heating and Ventilation Only
CRAC – Computer Room Air Conditioner
CRAH – Computer Room Air Handler
FPFC – Four-pipe Fan Coil
WSHP – Water-source Heat Pump
SPVAC – Single package vertical air conditioner
SPVHP – Single package vertical heat pump
DOASVAV – Dedicated Outdoor Air System with Variable Air Volume Airflow
DOASCAV – Dedicated Outdoor Air System with Constant Air Volume Airflow
Chilled Beam – Active or Passive chilled beams
* Choice includes series and parallel fan-powered boxes as zone terminal units
Standard Design: For healthcare facilities, same as Proposed Design.For all others, based on the prescribed system type in the HVAC system map (see Chapter 5.1.3 HVAC System Map).
CONTROL SYSTEM TYPE
Applicability: All HVAC systems that serve more than one control zone, as well as the hydronic systems that serve building HVAC systems.
Definition: The type of control system for multi-zone HVAC systems and their related equipment.
This input affects the proposed design system specification for zone level controls, supply air temperature reset controls, ventilation controls and fan and pump static pressure part-load curves. See the following building descriptors:
- Ventilation control method
- Terminal heating control type
- Pump part-load curve
- Fan part-load curve
- Optimal start
- Capacity Limit
Units: None.
Input Restrictions: List one of the following inputs:
Direct digital control (DDC) control to the zone level – DDC systems with control to the zone level.
Other – other control systems, including pneumatic and DDC systems without control to the zone level.
Standard Design: For healthcare facilities, same as Proposed Design. For all others, DDC control to the zone level.
CAPACITY LIMIT
Applicability: All air systems – not applicable for zone systems.
Definition: The capacity limit establishes how an air system is utilized for thermal load conditioning or for ventilation only. The user choices are:
- Sensible Load
- Total Load
- Ventilation Only
Units: None.
Input Restrictions: None.
Standard Design: Sensible load shall be the default for all standard design systems.
AIR HANDLER SCHEDULER
Applicability: All systems that do not cycle with loads.
Definition: A schedule that indicates when the air handler operates continuously.
Units: Data structure: schedule, on/off.
Input Restrictions: For healthcare facilities, the schedule is the same as the proposed design. For all nonresidential buildings, the schedule is based on the predominant schedule group for the building story or zone. See Chapter 2.3.3 Space Use Classification Considerations for details. For multifamily buildings, see Chapter 6 Multifamily Building Descriptors Reference.
The fan schedules and HVAC operations are defined so that the air handlers provide the necessary outside air 1 hour prior to scheduled occupancy.
Standard Design: Same as the proposed design.
AIR HANDLER FAN CYCLING
Applicability: All fan systems.
Definition: This building descriptor indicates whether the system supply fan operates continuously or cycles with building loads when the HVAC schedule indicates the building is occupied. (See night cycle control input for fan operation during unoccupied hours.) The fan systems in most commercial buildings operate continuously.
Units: List continuous or cycles with loads.
Input Restrictions: As designed if the HVAC system serves zones with a dedicated outside air source for ventilation; otherwise, continuous.
Standard Design: For healthcare facilities, same as the Proposed Design. For all others, cycles with loads for hotel/motel guestroom systems; continuous for all other standard design system types.
OPTIMAL START CONTROL
Applicability: Systems with the control capability for flexible scheduling of system start time based on building loads.
Definition: Optimal start control adjusts the start time of the HVAC unit such that the space is brought to setpoint just prior to occupancy. This control strategy modifies the heating, cooling, and fan schedules.
Units: Boolean (Yes/No).
Input Restrictions: Fixed at yes if control system type is DDC to the zone level; otherwise, as designed.
Standard Design: For healthcare facilities, same as the Proposed Design. For all others, fixed at yes if control system type is DDC to the zone level.
NIGHT-CYCLE HVAC FAN CONTROL
Applicability: All air systems – not applicable for zone systems.
Definition: The control of an HVAC system that is triggered by the heating or cooling temperature setpoint for thermal zones during periods when the heating, cooling and fan systems are scheduled to be off. For this control, the space is controlled to the setback or setup temperature only; this control is not equivalent to a night purge control. The choices are:
- Cycle on call from any zone
- Cycle on call from the primary control zone
- Stay off
- Cycle zone fans only (for systems with fan-powered boxes) Restart fans below given ambient temperature.
- Cycle on any cooling
- Cycle on any heating
Units: None.
Input Restrictions: For multi-zone systems, ‘Cycle on call from any zone’, except for systems with fan-powered boxes, where either ‘Cycle on call from any zone’ or ‘Cycle zone fans only’ is allowed. For DOAS, ‘Stay off’ unless the DOAS is identified as a heating or cooling system for any zone. For single-zone heating/cooling systems, ‘Cycle on call from primary zone’.
Standard Design: For healthcare facilities, same as the Proposed Design. For multi-zone systems, ‘Cycle on call from any zone’. For single-zone heating/cooling systems, ‘Cycle on call from primary zone’.
COOLING SUPPLY AIR TEMPERATURE
Applicability: All cooling systems.
Definition: The supply air temperature setpoint at design cooling conditions.
Units: Degrees Fahrenheit (°F).
Input Restrictions: As designed.
Standard Design: For healthcare facilities, same as the Proposed Design. For all others, 15°F below the space temperature setpoint for interior zones that are served by multiple zone systems and for computer rooms without air containment (where space temperature equals return air temperature); for all other zones, 20°F below the space temperature.
Setpoint
HEATING SUPPLY AIR TEMPERATURE
Applicability: All heating systems.
Definition: The supply air temperature leaving the air handler when the system is in a heating mode (not the air temperature leaving the reheat coils in VAV boxes).
Units: Degrees Fahrenheit (°F).
Input Restrictions: As designed.
Standard Design: For healthcare facilities, same as the Proposed Design. For all others, 95°F for all system types with heating, except 60°F for multiple zone systems; no heating for data centers and computer rooms.
SUPPLY AIR TEMPERATURE CONTROL
Applicability: All cooling or heating systems or both.
Definition: The method of controlling the supply air temperature. Choices are:
- No control – for this scheme the coils are energized whenever there is a call for heating or cooling at the control zone.
- Fixed (constant)
- Reset by warmest zone, airflow first
- Reset by warmest zone, temperature first
- Reset by outside air dry-bulb temperature
- Scheduled setpoint
Units: List (see above).
Input Restrictions: Warmest zone reset controls not applicable for single-zone systems. Otherwise, as designed.
Standard Design: For healthcare facilities, same as the Proposed Design. For all others, for standard design systems 1 through 4 and 7 through 13, the SAT control is No Control. For systems 5 and 6, the SAT control shall be reset by warmest zone, airflow first.
RESET SCHEDULE BY OSA
Applicability: When the proposed design resets SAT by outside air dry-bulb temperature.
Definition: A linear reset schedule that represents the SAT setpoint as a function of outdoor air dry-bulb temperature.
This schedule is defined by at minmum the following four data points. (see Figure 11):
- The coldest supply air temperature
- The corresponding (hot) outdoor air dry-bulb setpoint
- The warmest supply air temperature
- The corresponding (cool) outdoor air dry-bulb setpoint
There may be one reset schedule for the system, or may be individual reset schedules for heating and cooling coils, as may be the case for DOAS systems.
Figure 11: SAT Cooling Setpoint Reset Based on Outdoor Air Temperature (OAT)

Source: California Energy Commission
Units: Data structure (two matched pairs of SAT and OAT, see above).
Input Restrictions: As designed.
Standard Design: For healthcare facilities, same as the Proposed Design. For all others, not applicable.
DUAL SETPOINT SUPPLY AIR TEMPERATURE CONTROL
Applicability: All cooling and/or heating systems. This strategy is most applicable to ventilation only (DOAS) systems with tempering coils and/or heat recovery.
Definition: The maximum and minimum supply air temperature setpoints for the system. Cooling coils will be energized to maintain the system supply air temperature at the maximum setpoint, and heating coils will be energized to maintain the setpoint at the minimum temperature. If the mixed air temperature of the system is between these two values, the coils are not energized and the supply air temperature “floats” within this range.
Units: Data structure (a pair of minimum and maximum supply air temperatures).
Input Restrictions: As designed.
Standard Design: Not applicable to standard designs.
The standard design fan system is summarized in this chapter. See Chapter 5.1.3 HVAC System Map, for the HVAC standard design system mapping. At the end of the Fans, General section below, the standard design fan power allowance and available credits is described. There are also sections on Supply, Return/Relief, and Exhaust systems with additional guidance.
The following descriptors are common to all fans.
FAN MODELING METHOD
Applicability: All fan systems.
Definition: Fans can be modeled in one of three ways. The simple method is for the user to enter the electric power per unit of flow (W/cfm). This method is commonly used for zonal equipment and other small fan systems. A more detailed method is to model the fan as a system whereby the static pressure, fan efficiency, part-load curve, and motor efficiency are specified at design conditions. A third method is to specify brake horsepower at design conditions instead of fan efficiency and static pressure. This is a variation of the second method whereby brake horsepower is specified in lieu of static pressure and fan efficiency. The latter two methods are commonly used for VAV and fan systems with significant static pressure.
Units: List power-per-unit-flow, static pressure, or brake horsepower.
Input Restrictions: As designed.
Standard Design: For healthcare facilities with total system fan power less than 1 kW and system is not a DOAS, same as the Proposed Design. For all others, power-per-unit-flow.
FAN CONTROL METHOD
Applicability: All fan systems with supply or relief fans or both.
Definition: A description of how the supply (and return/relief) fan(s) are controlled.
The options include:
- Constant volume
- Variable-flow, inlet, or discharge dampers
- Variable-flow, inlet guide vanes
- Variable-flow, variable speed drive (VSD)
- Variable-flow, variable pitch blades
- Two-speed
For variable-speed fans, the fan control method determines which part-load performance curve to use.
Units: List (see above).
Input Restrictions: As designed. The user shall not be able to select VSD with static pressure reset if the building does not have DDC controls to the zone level.
Standard Design: For healthcare facilities, same as the Proposed Design. Based on the prescribed system type. Refer to the HVAC System Map in 5.1.3.
FAN BRAKE HORSEPOWER
Applicability: All fan systems.
Definition: The design shaft brake horsepower of a fan.
This input does not need to be supplied if the supply fan power (kW or W/cfm) is supplied.
Units: Horsepower (hp).
Input Restrictions: As designed. Required if the fan modeling method is ‘brake horsepower’, otherwise this input is calculated for other methods.
The compliance software shall apply the following rule to ensure the proposed design bhp is consistent with the user input motor nameplate horsepower.
The user entered brake horsepower for the proposed design is compared against the next smaller standard motor size, as defined by Table 10: Minimum Nominal Efficiency for Electric Motors (Percent), from the user entered supply fan motor horsepower. The proposed design supply fan brake horsepower (bhp) is set to the maximum of the user entered or calculated bhp and 95 percent of the next smaller motor horsepower:
Proposed bhp = max(user bhp, 95 percent ×MHPi-1)
Where User bhp is the user entered supply fan brake horsepower:
MHPi is the proposed (nameplate) motor horsepower
MHPi-1 is the next smaller motor horsepower from the Standard Motor Size table above. For example, if the proposed motor horsepower is 25, the next smaller motor horsepower from the table above is 20, and 95 percent of the next smaller motor horsepower is 19.
Standard Design: For healthcare facilities with total system fan power less than 1 kW and system is not a DOAS, same as the Proposed Design. For all others, not applicable (the standard design maps to a HVAC system type, which has a power-per-unit-flow allowance based on the components in the given system type).
Standard Design: Existing Buildings: Same as proposed if existing and unaltered.
FAN MOTOR HORSEPOWER
Applicability: All fan systems.
Definition: The motor nameplate horsepower of the supply fan.
Units: List: choose from standard motor sizes: 1/12, 1/8, ¼, ½, ¾, 1, 1.5, 2, 3, 5, 7.5, 10, 15, 20, 25, 30, 40, 50, 60, 75, 100, 125, 150, 200
Alternatively, the nameplate horsepower can be entered as a numeric value.
Input Restrictions: As designed.
This building descriptor is required for all fan power modeling methods.
Standard Design: For healthcare facilities with total system fan power less than 1 kW and system is not a DOAS, same as the Proposed Design. For all others, set to the standard motor efficiency for the nominal motor size, from NEMA standards, for calculated supply fan input power.
Standard Design: Existing Buildings: Same as proposed if existing and unaltered.
FAN TOTAL STATIC PRESSURE
Applicability: All fan systems using the static pressure method.
Definition: The design total static pressure for the supply fan. This includes both the internal and external static pressure drop for an air handler.
Units: Inches of water column (in. H20).
Input Restrictions: As designed.
The design static pressure for the supply fan does not need to be specified if the supply fan power index or brake horsepower (bhp) is specified.
Standard Design: For healthcare facilities with total system fan power less than 1 kW and system is not a DOAS, same as the Proposed Design. For all others, not applicable.
Standard Design: Existing Buildings: Same as proposed if existing and unaltered.
FAN EFFICIENCY
Applicability: All fan systems using the static pressure method.
Definition: The efficiency of the fan at design conditions; this is the static efficiency and does not include motor losses.
Units: Unitless.
Input Restrictions: As designed.
The supply fan efficiency does not need to be specified if the supply fan brake horsepower (bhp) is specified.
Standard Design: For healthcare facilities with total system fan power less than 1 kW and system is not a DOAS, same as the Proposed Design. For all others, 65%.
Not applicable for the four-pipe fan coil system.
Standard Design: Existing Buildings: Not applicable.
MOTOR EFFICIENCY
Applicability: All fans.
Definition: The full-load efficiency of the motor serving the fan.
Units: Unitless.
Input Restrictions: As designed.
Standard Design: For healthcare facilities with total system fan power less than 1 kW and system is not a DOAS, same as the Proposed Design. For all others, determined from Table 10: Minimum Nominal Efficiency for Electric Motors (Percent) using the nameplate motor size.
Existing Buildings: Same as proposed.
Motor Horsepower | Efficiency (%) |
1 | 85.5 |
1.5 | 86.5 |
2 | 86.5 |
3 | 89.5 |
5 | 89.5 |
7.5 | 91.7 |
10 | 91.7 |
15 | 92.4 |
20 | 93.0 |
25 | 93.6 |
30 | 93.6 |
40 | 94.1 |
50 | 94.5 |
60 | 95.0 |
75 | 95.4 |
100 | 95.4 |
125 | 95.4 |
150 | 95.8 |
200 | 96.2 |
250 | 96.2 |
300 | 96.2 |
350 | 96.2 |
400 | 96.2 |
450 | 96.2 |
500 | 96.2 |
Source: California Energy Commission
MOTOR POSITION
Applicability: All fans.
Definition: The position of the supply fan motor relative to the cooling or heating air stream or both.
The choices are in the air stream or out of the air stream.
Units: List (see above).
Input Restrictions: As designed.
Standard Design: In the air stream.
FAN PART-FLOW POWER CURVE
Applicability: All variable flow fan systems.
Definition: A part-load power curve that represents the percentage full-load power draw of the supply fan as a function of the percentage full-load air flow.
The curve is typically represented as a quadratic equation with an absolute minimum power draw specified.
Units: Unitless ratio.
Input Restrictions: Prescribed, use curves in Appendix 5.7 based on fan control.
The default fan curve shall be selected from Appendix 5.7 for the type of fan specified in the proposed design.


Where:
- PLR - Ratio of fan power at part load conditions to full load fan power
- PowerMn - Minimum fan power ratio
- FanRatio - Ratio of cfm at part-load to full-load cfm
- a, b, c, and d - Constants from the table below
For exhaust fans modeled as zone fans, the part-flow power curve can be described by a curve from Appendix 5.7 for the type of fan specified, or as a linear curve.
Standard Design: For healthcare facilities with total system fan power less than 1kW and system is not a DOAS, same as the Proposed Design. For all others, not applicable for standard design constant volume systems. The curve VSD with static pressure reset fans shall be used for variable volume systems. For exhaust fans, if a linear curve is used, the same fan curve, in the proposed design is used.
FAN POWER INDEX
Applicability: Fan systems that use the power-per-unit-flow method.
Definition: The fan power (at the motor) per unit of flow.
Units: W/cfm.
Input Restrictions: As designed or specified in the manufacturers’ literature.
Standard Design: For healthcare facilities with total system fan power greater than or equal to 1 kW and the system is not DOAS, power-per-unit-flow allowance based on the components in the proposed system according to 140.4(c)1 of the Energy Code. For healthcare facilities with DOAS and total system fan power less than 1 kW, 1.0 W/CFM. For all others health care facilities, same as Proposed Design.
For all other buildings:
System 1 – RAC (Residential Air Conditioner) : 0.45 W/CFM
System 10 – CRAC and System 11 – CRAH systems: 0.58 W/CFM.
Other systems: The fan electrical power input of the standard design will be based on which components are present in the given HVAC system type, and what the prescriptive fan power budget allows for each airflow range.
The standard design fan input electrical power will be determined by the system type and airflow range described in the table below:
System No. | ≤ 5,000 cfm | > 5,000 cfm; ≤10,000 cfm | > 10,000 cfm |
3a – SZAC | 0.802 | 0.780 | 0.748 |
3b – SZHP (no furnace) | 0.744 | 0.720 | 0.676 |
3c – SZDFHP (with furnace) | 0.802 | 0.780 | 0.748 |
7a – SZVAVAC | 0.802 | 0.780 | 0.748 |
7b – SZVAVHP | 0.744 | 0.720 | 0.676 |
7c – SZVAVDFHP (with furnace) | 0.802 | 0.780 | 0.748 |
5 – PVAV | 1.000 | 1.022 | 0.964 |
6 – VAV | 0.977 | 1.013 | 0.947 |
9 – HEATVENT | 0.616 | 0.620 | 0.605 |
Source: California Energy Commission
Standard Design: Existing Buildings: Same as proposed if existing and unaltered; otherwise use newly constructed buildings values with the following additional credits (includes supply and return/relief/exhaust):
|
System No.
|
≤ 5,000 cfm
|
> 5,000 cfm; ≤ 10,000 cfm
|
> 10,000 cfm
|
|
MZ-VAV (Systems 5 and 6)
|
0.205
|
0.174
|
0.159
|
|
All other (Systems 1, 3, 7, and 9)
|
0.209
|
0.182
|
0.162
|
Source: California Energy Commission
FAN POWER ADJUSTMENT
Applicability: Any system with special requirements for filtration or other process requirements.
Definition: Additional system fan power related to application-specific filtration requirements or other process requirements.
An exceptional condition shall be included on compliance documentation when the user selects one of these adjustment conditions.
Units: List.
Input Restrictions: The user chooses one or more fan power adjustment credits from the list below. For the credits that are indicated as ‘calculation required the user enters the pressure drop for each device.
Device | ≤ 5,000 cfm | > 5,000 cfm; ≤10,000 cfm | > 10,000 cfm |
Return of exhaust systems required by code to be fully ducted | 0.089 | 0.100 | 0.116 |
Exhaust filters, scrubbers, or other exhaust treatment (calculation required, see note) | 0.177 | 0.198 | 0.231 |
Particulate filtration credit: MERV 16 or greater and electronically enhanced filters | 0.265 | 0.280 | 0.333 |
Carbon and other gas-phase air cleaners (calculation required, see note) | 0.176 | 0.188 | 0.224 |
Biosafety cabinet (calculation required, see note) | 0.177 | 0.198 | 0.231 |
Energy Recovery (included only if standard design requires heat recovery) | 0.374 | 0.318 | 0.289 |
Device | ≤ 5,000 cfm | > 5,000 cfm; ≤10,000 cfm | > 10,000 cfm |
Return of exhaust systems required by code to be fully ducted | 0.091 | 0.102 | 0.116 |
Exhaust filters, scrubbers, or other exhaust treatment (calculation required, see note) | 0.179 | 0.202 | 0.232 |
Particulate filtration credit: MERV 16 or greater and electronically enhanced filters | 0.264 | 0.292 | 0.342 |
Carbon and other gas-phase air cleaners (calculation required, see note) | 0.177 | 0.197 | 0.231 |
Biosafety cabinet (calculation required, see note) | 0.179 | 0.202 | 0.232 |
Energy Recovery (Included only if standard design requires heat recovery) | 0.381 | 0.329 | 0.293 |
Single Zone VAV Systems that are capable of turning down to 50% of full load airflow at a maximum of 30% design wattage | 0.070 | 0.100 | 0.089 |
For any row with “calculation require,” include a field that allows the user to enter static pressure and multiply by the value in the cell. The value in the cell is based on 1.0 in. w.c. pressure drop.
Source: California Energy Commission
Standard Design: Same as proposed.
Standard Design: Existing Buildings: Same as proposed for new HVAC equipment; not applicable for existing, unaltered systems.
FAN ENERGY INDEX (FEI)
Applicability: All fans with a motor nameplate horsepower greater than 1.00 hp or with an electrical input power greater than 0.89 kW.
Definition: FEI is a ratio of the baseline electrical power divided by the fan’s actual electrical input power calculated in accordance with ANSI/AMCA 208-18 Annex C.
This input is currently only used for mandatory minimum efficiency checks.
Units: Unitless ratio.
Input Restrictions: As designed.
The applicable fan shall have a FEI of 1.00 or higher. The applicable fan used for a variableair-volume system that meets the requirements of Section 140.4(c)2 shall have an FEI of 0.95 or higher. If the fan FEI does not meet one of the requirements above, the compliance run shall fail unless the fan meets one of the EXCEPTIONs to Section 120.10(a).
Standard Design: Not applicable.
The standard design HVAC systems have supply fans.
SUPPLY FANS POWER RATIO
Applicability: All fan systems.
Definition: The standard design fan power requirements apply to all fans that operate at design conditions. To apportion the fan power to the supply, return/relief fan and exhaust fans, a ratio is defined that is the ratio of supply fan power to total system fan power.
Units: Unitless ratio.
Input Restrictions: As designed, not a user input.
This is the ratio of the supply fan power to total system fan power, which includes supply, return/relief, and exhaust fans in zones served by a proposed HVAC system. If the proposed design does not have a return, relief or exhaust fan in the zones served by the system, this ratio is 1.0.
Standard Design: Same as proposed.
Standard Design: Existing Buildings: Same as proposed.
SUPPLY FAN DESIGN AIRFLOW
Applicability: All fan systems
Definition: The air flow rate of the supply fan(s) at design conditions.
This building descriptor sets the 100 percent point for the fan part-load curve.
Units: CFM (ft3/min)
Input Restrictions: As designed*
*The airflow is typically between 250 cfm/ton and 500 cfm/ton; values well outside of this range may cause simulation engine runtime efforts that must be addressed by the user (currently there are no input restrictions on this).
Standard Design: For healthcare facilities, same as the Proposed Design. For all others,
The program shall automatically size the air flow at each thermal zone to meet the loads. The design air flow rate calculation shall be based on a 20°F temperature differential between supply air and the room air 20°F temperature differential between the supply air and the return air for exterior zones and a 15°F temperature differential for interior zones served by multiple zone systems. The design supply air flow rate is the larger of the flow rate required to meet space conditioning requirements and the required ventilation flow rate.
For multizone systems, the supply fan design air flow rate shall be the system airflow rate that satisfies the coincident peak of all thermal zones at the design supply air temperature.
For systems with cooling coils, a 15% multiplier is applied to the autosized airflow rate to be consistent with the cooling coil sizing multiplier.
FAN POSITION
Applicability: All supply fans.
Definition: The position of the supply fan relative to the cooling coil.
The configuration is either draw through (fan is downstream of the coil) or blow through (fan is upstream of the coil).
Units List (see above).
Input Restrictions: As designed.
Standard Design: Draw through.
The standard design HVAC systems has a return or relief fan if any of the zone(s) in the proposed design are served by HVAC systems with return or relief fan. If the standard design is required to include exhaust air heat recovery, and the proposed design does not include a return and/or a relief fan, the standard design will be modeled with a return fan
PLENUM ZONE
Applicability: Any system with return ducts or return air plenum.
Definition: A reference to the thermal zone that serves as return plenum or where the return ducts are located.
Units: Text, unique.
Input Restrictions: As designed.
Standard Design: Not applicable.
RETURN AIR PATH
Applicability: Any system with return ducts or return air plenum.
Definition: Describes the return path for air.
Can be ducted return, via plenum zone(s), or direct-to-unit.
Units: List (see above).
Input Restrictions: As designed.
Standard Design: For standard design systems, the return air path shall be direct-to-unit
RETURN/RELIEF FAN MODELING METHOD
Applicability: All fan systems.
Definition: The specification method for return fan power. The simple method is for the user to enter the electric power-per-unit of flow (W/cfm). A more detailed method is to model the fan as a system whereby the static pressure, fan efficiency, part-load curve, and motor efficiency are specified at design conditions. A third method is to specify brake horsepower at design conditions instead of fan efficiency and static pressure. This is a variation of the second method whereby brake horsepower is specified in lieu of static pressure and fan efficiency. The latter two methods are commonly used for VAV and fan systems with significant static pressure.
Units: List power-per-unit-flow, static pressure, or brake horsepower.
Input Restrictions: As designed.
Standard Design: For healthcare facilities with total system fan power less than 1 kW and system is not a DOAS, same as the Proposed Design. For all others, power-per-unit-flow.
Standard Design: Existing Buildings: Not applicable.
RETURN/RELIEF FAN POWER RATIO
Applicability: All thermal zones.
Definition: This is the ratio of the return or relief fan power divided by the total system fan power for the thermal zone. If the proposed design does not have a return or relief fan in the zones served by the system, this ratio is 0.0. This ratio is used to apportion the standard design fan power allowance to the standard design return/relief fan in a similar manner as the proposed design.
Units: Unitless ratio.
Input Restrictions: As designed, not a user input.
Standard Design: Same as proposed.
Standard Design: Existing Buildings: Same as proposed.
RETURN/RELIEF FAN DESIGN AIRFLOW
Applicability: All systems with a return or relief fan
Definition: The design air flow fan capacity of the return or relief fan(s).
This sets the 100 percent fan flow point for the part-load curve (see below).
Units: Cfm
Input Restrictions: As designed
Standard Design: For healthcare facilities, same as the Proposed Design. Otherwise, if the standard design has a return or relief fan, the design airflow will be equal to the standard design supply fan airflow less the system minimum outdoor air, or 90% of the standard design supply fan airflow, whichever is larger.
The standard design shall track the proposed design exempt process exhaust flow rate up to the prescribed outside exhaust rate by space type (see Appendix 5.4A for the standard design maximum exhaust rate). Covered process (non-exempt) exhaust includes garage ventilation, lab exhaust and exhaust from kitchens with over 5,000 cfm of exhaust. Rules for the standard design covered process exhaust rate and fan power are discussed in the following chapters.
EXHAUST FAN POWER RATIO
Applicability: All thermal zones.
Definition: This is the ratio of the proposed exhaust fan power included in zones served by a proposed HVAC system, divided by the total proposed system fan power, which includes: supply, return/relief, and exhaust fans. If the proposed design does not have exhaust fans in zones served by an HVAC system, this ratio is 0.
Units: Unitless ratio.
Input Restrictions: As designed, not a user input.
Standard Design: Same as proposed.
Standard Design: Existing Buildings: Same as proposed.
EXHAUST FAN DESIGN AIRFLOW
Applicability: All exhaust fan systems.
Definition: The rated design air flow rate of the exhaust fan system. This building descriptor defines the 100 percent flow point of the part-flow curve. Actual air flow is the sum of the flow specified for each thermal zone, as modified by the schedule for each thermal zone.
Units: Cfm.
Input Restrictions: As designed, but required if the space ventilation function results in a minimum exhaust rate to be provided. The total design exhaust flow capacity for building (conditioned space) shall not exceed the sum of building story minimum ventilation (outdoor) air flow. Exhaust makeup can be transferred from other zones in the building provided that the total building exhaust rate does not exceed the total minimum outside air flow rate.
Standard Design: For healthcare facilities, same as the Proposed Design. For all others, same as proposed design unless the space ventilation function results in a minimum exhaust rate to be provided. In this case, the standard design shall be the code minimum exhaust. The design supply air ventilation rate for zone(s) may need to be adjusted by the compliance software, so that the total design outside air ventilation rate supplied to all zones on a floor equals the total exhaust fan design airflow for all zones on the floor.
EXHAUST FAN CONTROL METHOD
Applicability: All exhaust fan systems.
Definition: A description of how the exhaust fan(s) are controlled. The options include:
- Constant volume, constant speed fan.
- Variable-flow, variable speed fan
Units: List (see above)
Input Restrictions: As designed, when exhaust fan flow at the thermal zone level is varied through a schedule, one of the variable-flow options shall be specified.
Standard Design: For healthcare facilities, same as the Proposed Design. For all others,
The standard design exhaust fan control shall be the same as the proposed design, but subject to the conditions described above.
For exhaust fans serving kitchen spaces, the fan control method is constant volume for fans with flow rate 5,000 cfm and below, and variable flow, variable speed drive for fans with flow rate greater than 5,000 cfm.
For exhaust fans serving laboratory spaces, the fan control method is variable speed drive when the minimum exhaust flow is 10 ACH or less. If the lab exhaust flow minimum is greater than 10 ACH, the control method is the same as proposed.
EXHAUST FAN EFFICIENCY
Applicability: Any exhaust fan system that uses the static pressure method.
Definition: The efficiency of the exhaust fan at rated capacity.
This is the static efficiency and does not include losses through the motor.
Units: Unitless.
Input Restrictions: None
Standard Design: For healthcare facilities covered process exhaust, same as the Proposed Design. For all other healthcare facility fans 65%.
For kitchen exhaust fans, the fan efficiency is 50%, while for lab exhaust it is 62%.
For all other exhaust fans, the standard design is 65%.
EXHAUST FAN POWER INDEX
Applicability: ALL exhaust systems.
Definition: The fan power of the exhaust fan per unit of flow.
This building descriptor is applicable only with the power-per-unit-flow method.
Units: W/CFM.
Input Restrictions: As designed.
Standard Design: For healthcare facilities with total system fan power greater than or equal to 1 kW and the system is not DOAS, power-per-unit-flow allowance based on the components in the proposed system according to 140.4(c)1 of the Energy Code. For all others health care facilities, same as the Proposed Design.
For laboratory exhaust, where the building lab design exhaust flow exceeds 10,000 cfm, 0.65 W/cfm. If the user designates that the system includes scrubbers or other air treatment devices, the standard design exhaust fan power shall be 0.85 W/cfm.
For kitchen exhaust, 0.65 W/CFM.
For hotel/motel guestrooms, 0.58 W/CFM.
When garage exhaust fan systems are modeled the fans shall be modeled as constant volume fans, with the fan power determined by whether or not the fan has CO controls.
GARAGE EXHAUST FAN RATED CAPACITY
Applicability: All garage exhaust systems.
Definition: The rated design air flow rate of the garage exhaust fan system.
Units: Cfm.
Input Restrictions: As designed.
Standard Design: Same as proposed design.
GARAGE EXHAUST FAN CONTROL METHOD
Applicability: All garage exhaust fan systems.
Definition: The control method for the garage exhaust fan.
This input determines the fan power for the exhaust fan. No other fan inputs are required.
Units: List No CO control, or CO control.
Input Restrictions: None.
If constant volume is selected, proposed fan power is as designed.
If CO control is selected, proposed fan power is 12.5 percent of the design fan power.
Standard Design: Same as proposed.
DUCT LEAKAGE HERS FAN POWER ADJUSTMENT
Applicability: Single zone, constant volume systems with ducts in unconditioned space, serving 5000 ft2.
Definition: A fan power penalty or credit based on the testing performed when ducts are in unconditioned spaces.
Units: List: Penalty, No Change Credit.
Input Restrictions: Not a user input.
Penalty: if the HERS duct leakage testing isn’t done when required, or if the testing fails the duct leakage rate criteria.
No Change: testing not required.
Credit: testing not required, but HERS testing performed and leakage rates are verified.
Standard Design: All in conditioned space.
MAXIMUM OUTSIDE AIR RATIO
Applicability: All systems with modulating outside air dampers.
Definition: The descriptor is used to limit the maximum amount of outside air that a system can provide as a percentage of the design supply air. It is used where the installation has a restricted intake capacity.
Units: Ratio.
Input Restrictions: Fixed,1.0 for all systems above 33,000 Btu/h net cooling capacity; 0.9 for other systems.
Standard Design: 1.0 for all systems above 33,000 Btu/h net cooling capacity; 0.9 for other systems.
DESIGN OUTSIDE AIR FLOW
Applicability: All systems with outside air dampers.
Definition: The rate of outside air that needs to be delivered by the system at design conditions. This input may be derived from the sum of the design outside air flow for each of the zones served by the system.
Units: Cfm.
Input Restrictions: As designed but no lower than the ventilation rate of the standard design.
Standard Design: For healthcare facilities, same as the Proposed Design.
For systems serving laboratory spaces, the system shall be 100 percent outside air.
OUTDOOR AIR CONTROL METHOD
Applicability: All HVAC systems that deliver outside air to zones.
Definition: The method of determining the amount of outside air that needs to be delivered by the system.
Each of the zones served by the system report their outside air requirements on an hourly basis. The options for determining the outside air at the zone level are discussed above. This control method addresses how the system responds to this information on an hourly basis. Options include:
- Average Flow - The outside air delivered by the system is the sum of the outside air requirement for each zone, without considering the position of the VAV damper in each zone. The assumption is that there is mixing between zones through the return air path.
Units: List (see above).
Input Restrictions: As designed.
Standard Design: Average flow.
ECONOMIZER CONTROL TYPE
Applicability: All systems with an air-side economizer
Definition: An air-side economizer increases outside air ventilation during periods when system cooling loads can be reduced from increased outside air flow. The control types include:
- No economizer.
- Fixed dry-bulb. The economizer is enabled when the temperature of the outside air is equal to or lower than temperature fixed setpoint (e.g., 75°F).
- Differential dry-bulb. The economizer is enabled when the temperature of the outside air is lower than the return air temperature.
- Differential enthalpy. The economizer is enabled when the enthalpy of the outside air is lower than the return air enthalpy.
- Differential dry-bulb and enthalpy. The system shifts to 100 percent outside air or the maximum outside air position needed to maintain the cooling SAT setpoint, when the outside air dry-bulb is less than the return air dry-bulb AND the outside air enthalpy is less than the return air enthalpy. This control option requires additional sensors.
Units: List (see above)
Input Restrictions: As designed
Standard Design: The control should be no economizer when the standard design net cooling capacity is less than 33,000 Btu/h and when the standard design cooling system is not a computer room air handling unit (CRAH). Otherwise, the standard design shall assume an integrated fixed dry-bulb economizer.
An exception is that economizers shall not be modeled for systems serving multifamily dwelling units or hotel/motel guestroom occupancies. An exception for systems serving healthcare facilities with Standard Design net cooling capacity less than 54,000 Btu/h where ventilation is provided by a DOAS with heat recovery.
DOAS with heat recovery serving healthcare facilities shall assume having a fixed dry-bulb economizer.
Economizer Integration Level
Applicability: Airside economizers.
Definition: This input specifies whether or not the economizer is integrated with mechanical cooling. It is up to the compliance software to translate this into software-specific inputs to model this feature. The input could take the following values:
- Non-integrated - The system runs the economizer as the first stage of cooling. When the economizer is unable to meet the load, the economizer returns the outside air damper to the minimum position and the compressor turns on as the second stage of cooling.
- Integrated - The system can operate with the economizer fully open to outside air and mechanical cooling active (compressor running) simultaneously, even on the lowest cooling stage.
Units: List (see above).
Input Restrictions: List non-integrated or integrated.
Standard Design: Integrated for systems above capacity 33,000 Btu/h net cooling capacity.
ECONOMIZER HIGH TEMPERATURE LOCKOUT
Applicability: Systems with fixed dry-bulb economizer.
Definition: The outside air setpoint temperature above which the economizer will return to minimum position.
Units: Degrees Fahrenheit (°F).
Input Restrictions: As designed.
Standard Design: The required high temperature lockout is based on Table 140.4-G for fixed dry bulb device types. For computer rooms with containment, the economizer shall have a fixed dry-bulb high limit of 80°F.
- Climate Zones 1, 3, 5, 11-16 – Temperature Toa > 75 oF
- Climate Zones 2, 4, 10 – Temperature Toa > 73 oF
- Climate Zones 6, 8, 9 - Temperature Toa > 71 oF
- Climate Zone 7 - Temperature Toa > 69 oF
ECONOMIZER LOW TEMPERATURE LOCKOUT
Applicability: Systems with air-side economizers
Definition: A feature that permits the lockout of economizer operation (return to minimum outside air position) when the outside air temperature is below the lockout setpoint.
Units: Degrees Fahrenheit (F°)
Input Restrictions: As designed
Standard Design: For healthcare facilities DOAS with heat recovery, 55 °F. For all others, 45 °F
ECONOMIZER HIGH ENTHALPY LOCKOUT
Applicability: Systems with differential enthalpy economizers.
Definition: The outside air enthalpy above which the economizer will return to minimum position.
Units: Btu/lb.
Input Restrictions: As designed.The default is 28 Btu/lb (high altitude locations may require different setpoints.) The compliance software shall apply a fixed offset and add 2 Btu/lb to the user-entered value.
Standard Design: Not applicable.
This group of building descriptors applies to all cooling systems.
Cooling Source
Applicability: All systems.
Definition: The type of cooling for the system. other.
Units: List chilled water, direct expansion (DX), or VRF.
Input Restrictions: As designed As designed. When a system has a ‘heat pump’ heating coil type, the system shall also include a DX cooling coil. For VRF systems, the VRF coil type should be specified.
Standard Design: For healthcare facilities, same as the proposed design. For all others refer to the HVAC system map in Chapter 5.1.3 HVAC System Map for the prescribed type.
Standard Design: Existing Buildings: Same as proposed for existing, unaltered systems
Gross Total Cooling Capacity
Applicability: All cooling systems.
Definition: The total gross cooling capacity (both sensible and latent) of a cooling coil or packaged DX system at AHRI conditions. The building descriptors defined in this chapter assume that the fan is modeled separately, including any heat it adds to the air stream. The cooling capacity specified by this building descriptor should not consider the heat of the fan.
Units: Btu/h.
Input Restrictions: As designed for systems with chilled water coils. For DX coils, calculated by program from net capacity
For packaged or VRF equipment that has the fan motor in the air stream such that it adds heat to the cooled air, the compliance software shall calculate the net total cooling capacity as follows:

Where:
- Qt,net,rated - The net total cooling capacity of a packaged unit as rated by AHRI (Btu/h)
- Qt,gross,rated - The AHRI rated total cooling capacity of a packaged unit (Btu/h)
- Qfan,rated; the heat generated by the fan and fan motor (if fan motor is in airstream) at AHRI rated conditions
For DX coils, the fan heat at rated conditions shall be accounted for by using the equation below:
Qfan,rated = Qt,gross,rated × 0.0415
This equation is based on an AHRI rated fan power of 0.365 W/cfm, and a cooling airflow of 400 cfm/ton.
Standard Design: For healthcare facilities, the gross total cooling capacity is the same as the Proposed Design with an adjustment to account for fan heat of the Standard Design. For all others, the capacity of the systems in the standard design is determined from a sizing run. See Chapter 2.6.2. Sizing Equipment in Standard Design.
Gross Sensible Cooling Capacity
Applicability: All cooling systems.
Definition: The gross sensible cooling capacity of the coil or packaged equipment at AHRI conditions. The building descriptors defined in this chapter assume that the fan is modeled separately, including any heat it adds to the air stream. The cooling capacity specified by this building descriptor should be adjusted to calculate the net sensible cooling capacity, which includes the effect of fan motor heat.
The sensible heat ratio (SHR) used by some energy simulation tools can be calculated from the sensible cooling capacity and total cooling capacity:
SHR = sensible cooling capacity/total cooling capacity
Units: Btu/h.
Input Restrictions: As designed.
For packaged or VRF equipment, the compliance software adjusts the user input of gross sensible cooling capacity to account for the effect of fan motor heat as follows:

Where:
- Qs,net,rated - The AHRI rated (from manufacturers’ literature) or net sensible cooling capacity of a packaged unit (Btu/h)
- Qt,gross,rated - The AHRI rated (from manufacturers’ literature) or gross sensible cooling capacity of a packaged unit (Btu/h)
- Qfan,rated - The heat generated by the at AHRI rated or hourly conditions (Btu/h). See gross total cooling capacity building descriptor.
Standard Design: For healthcare facilities the gross sensible cooling capacity is the same as the Proposed Design with an adjustment to account for fan heat of the Standard Design. For all others, the capacity of the systems in the standard design is determined from a sizing run. See Chapter 2.6.2. Sizing Equipment in Standard Design.
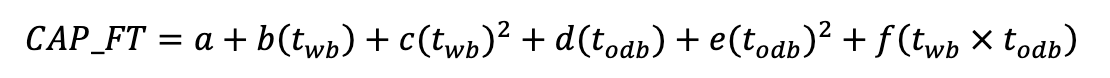
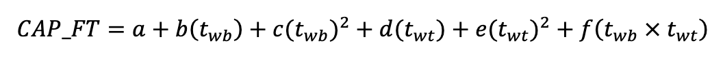
Gross Total Cooling Capacity Curve
Applicability: All cooling systems.
Definition: A curve that represents the available total cooling capacity as a function of cooling coil and/or condenser conditions. The common form of these curves is given as follows:

For air-cooled direct expansion:

For water-cooled direct expansion:

For chilled water coils:

Where:
- Qt,available - Available cooling capacity at specified evaporator and/or condenser conditions (MBH)
- Qt,adj - Adjusted capacity at AHRI conditions (Btu/h)
- CAP_FT - A multiplier to adjust Qt,adj
- twb - The entering coil wet-bulb temperature (°F)
- tdb - The entering coil dry-bulb temperature (°F)
- twt - The water supply temperature (°F)
- todb - The outside air dry-bulb temperature (°F)
Note: If an air-cooled unit employs an evaporative condenser, todb is the effective dry-bulb temperature of the air leaving the evaporative cooling unit.
Compliance software may represent the relationship between cooling capacity and temperature in ways other than the equations given above.
Units: Data structure.
Input Restrictions: Where applicable, curves are prescribed based on system type, see Appendix 5.7.
Standard Design: Use the default curves or equivalent data for other models.
Coil Latent Modeling Method
Applicability: All DX cooling systems.
Definition: The method of modeling coil latent performance at part-load conditions.
Units: List.
Input Restrictions: One of the following values:
Bypass factor – used by DOE-2 based programs.
NTU-effectiveness – used by EnergyPlus.
Standard Design: Same as proposed.
DESIGN WATER FLOW RATE
Applicability: Chilled water coils and water cooled DX coils.
Definition: The design flow rate of the chilled water coil or the condenser coil of a water-source heat pump.
Units: Gallons per minute (gpm).
Input Restrictions: None. Default based on gross capacity of the chilled water coil or heat rejection load of a water-source heat pump coil at the design deltaT of the attached hydronic loop.
Standard Design: For healthcare facilities, same as the Proposed Design. For all others, not applicable.
DESIGN PRESSURE DROP
Applicability: Chilled water coils and water cooled DX coils.
Definition: The design pressure drop through the chilled water coil or the condenser coil of a water-source heat pump.
Units: Feet of water (ftH2O).
Input Restrictions: None. Default to 5ft.
Standard Design: For healthcare facilities, same as the Proposed Design. For all others, not applicable.
Direct Expansion Cooling Efficiency
Applicability: All DX cooling systems.
Definition: The cooling efficiency of a direct expansion (DX) cooling system at AHRI rated conditions as a ratio of output over input in Btu/h per W, excluding fan energy.
The abbreviation used for this full-load efficiency is Energy Efficiency Ratio (EER).
For all unitary and applied equipment where the fan energy is part of the equipment efficiency rating, the EER shall be adjusted as follows:

Where:
- EERadj - The adjusted EER for simulation purposes
- EER - The rated EER
- Qt,net,rated - The AHRI rated total net cooling capacity of a packaged unit (kBtu/h)
- Qfan,rated - The AHRI rated fan energy, specified in the gross total cooling capacity building descriptor (Btu/h).
- PumpPwrrated – The AHRI rated pump power (Watts). Only applicable to packaged water-source heat pumps
Units: Btu/h-W.
Input Restrictions: As designed, except that the user-entered value must meet mandatory minimum requirements of the Energy Code for the applicable equipment type. For packaged equipment with cooling capacity less than 65,000 Btu/h, specify the EER/EER2 along with the SEER/SEER2 when available from manufacturer’s literature or AHRI certificate. For equipment with capacity above 65,000 Btu/h that are required to have a EER/EER2 rating, the EER/EER2 must be specified.
When EER/EER2 is not available for packaged equipment with SEER/SEER2 ratings (AHRI cooling capacity of 65,000 Btu/h or smaller), it shall be calculated as follows:
EER = MIN(-0.0194 × SEER2+1.0864 × SEER,13)
The default EER/EER2 shall be calculated by the equation above but constrained to be no greater than 13.
Evaporative cooling systems that pass the requirements of the Western Cooling Challenge may be modeled with an EER/EER2 as if the equipment were packaged unitary equipment. See Chapter 5.7.5.3 Evaporative Cooler.
A conversion factor is used to convert EER to EER2 ratings for modeling. For all air conditioners the conversion factor is 0.96 to convert EER to EER2. A conversion factor is used to convert SEER to SEER2 ratings for modeling. For split-system equipment the conversion factor is 0.95; for single-package equipment the conversion factor is 0.96- for small-duct high-velocity the conversion factor is 1.00; and for space-constrained equipment the conversion factor is 0.99 to convert SEER to SEER2.
Standard Design: Use the minimum cooling efficiency (EER/EER2) from the Energy Code for the applicable equipment type.
For multifamily buildings, use the minimum EER/EER2 required by the Appliance Efficiency Regulations for equipment subject to EER/EER2 rating. For equipment not subjected to EER rating, the standard is 11.7 EER.
Seasonal Energy Efficiency Ratio (SEER/SEER2)
Applicability: DX equipment with AHRI cooling capacity of 65,000 Btu/h or smaller
Definition: The seasonal energy efficiency ratio (SEER/SEER2) is a composite rating for a range of part-load conditions at specific ambient conditions.
Units: Btu/h-W.
Input Restrictions: As designed.
This input is required for packaged DX systems less than 65,000 Btu/h that are required to have a SEER/SEER2 rating. A conversion factor is used to convert SEER to SEER2 ratings for modeling. For split-system equipment the conversion factor is 0.95; for single-package equipment the conversion factor is 0.96; for small-duct high-velocity the conversion factor is 1.00; and for space-constrained equipment the conversion factor is 0.99 to convert SEER to SEER2.
Standard Design: Use the minimum SEER. The standard design system 1 is assumed to use 1-phase power, otherwise the standard design uses 3-phase power.
Integrated Energy Efficiency Ratio
Applicability: DX equipment with AHRI cooling capacity of 65,000 Btu/h or greater.
Definition: This is a IEER that is a composite rating for a range of part-load conditions and different ambient conditions. The rating is determined according to AHRI procedures. Equipment with this rating is subject to mandatory minimum requirements.
This input is currently only used for mandatory minimum efficiency checks.
Units: Btu/h-W.
Input Restrictions: As designed, the user-entered value must meet mandatory minimum requirements of the Energy Code for the applicable equipment type.
Standard Design: Not applicable.
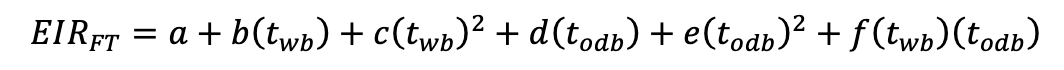
Direct Expansion Cooling Efficiency Temperature Adjustment Curve
Applicability: DX equipment.
Definition: A curve that varies the cooling efficiency of a direct expansion (DX) coil as a function of evaporator conditions, and condenser conditions.
For air-cooled DX systems:

For water-cooled DX systems:

Where:
- EIRFPLR - Part-load ratio based on available capacity (not rated capacity)
- EIRFT - A multiplier on the EIR to account for the wet-bulb temperature entering the coil and the outdoor dry-bulb temperature
- twb - The entering coil wet-bulb temperature (F)
- twt- The water supply temperature (F)
- todb - The outside-air dry-bulb temperature (F)
- Prated - Rated power draw at AHRI conditions (kW)
- Poperating- Power draw at specified operating conditions (kW)
Units: Data structure.
Input Restrictions: Where applicable, curves are prescribed based on system type, see Appendix 5.7.
For all systems except packaged DX units with cooling capacity equal to or less than 65,000 Btu/h, use default curves from Appendix 5.7. For packaged DX units with cooling capacity equal to or less than 65,000 Btu/h that have SEER/SEER2 ratings, the user inputs EER/EER2 and SEER/SEER2, or if EER/EER2 is not known, it is calculated using the equation in Direct Expansion Cooling Efficiency section. The compliance software generates the nine bi-quadratic equipment performance curve points (67, 95, 1.0*; 57, 82, NEIR57,82; 57, 95, NEIR57,95; 57,110,NEIR57,110; 67, 82, NEIR67, 82; 67,110, NEIR67,110; 77, 82, NEIR77, 82; 77, 95, NEIR77,95; and 77,110, NEIR77, 110) based on SEER/SEER2 and EER/EER2 inputs and the following formulas.
*At ARI Test Condition, the curve output should be 1.0
NEIRWBT,ODB represents the normalized energy input ratio (EIR) for various entering wet-bulb (EWB) and outside dry-bulb (ODB) temperatures. The value represents the EIR at the specified EWB and ODB conditions to the EIR at standard ARI conditions of 67°F wet-bulb and 95°F dry-bulb. The COOL-EIR-FT curve is normalized at ARI conditions of 67°F entering wet-bulb and 95°F outside dry-bulb so NEIR67,95 is one or unity, by definition. For other EWB and ODB conditions, values of NEIR are calculated with Equation

The energy input ratio (EIR) is the unitless ratio of energy input to cooling capacity. EIR includes the compressor and condenser fan, but not the supply fan. If the energy efficiency ratio EERnf (EER excluding the fan energy) is known for a given set of EWB and ODB conditions, the EIR for these same conditions is given by Equation below.

If the EER (including fan energy) is known for a given set of EWB and ODB conditions, then the EERnf (no fan) can be calculated from Equation N2-1 below.

The EER for different EWB and ODB conditions. These are given by the following equations.

A conversion factor is used to convert EER to EER2 ratings for modeling. For all air conditioners the conversion factor is 0.96 to convert EER to EER2. A conversion factor is used to convert SEER to SEER2 ratings for modeling. For split-system equipment the conversion factor is 0.95; for single package equipment the conversion factor is 0.96; for small-duct high-velocity the conversion factor is 1.00; and for space-constrained equipment the conversion factor is 0.99 to convert SEER to SEER2.
Standard Design: Use prescribed curves as described above
Number of Cooling Stages
Applicability: Single zone VAV systems and DX systems with multiple stages.
Definition: This applies to single zone VAV and any HVAC systems with multiple compressors or multiple discrete stages of cooling. This system is a packaged unit with multiple compressors and a two-speed or variable-speed fan.
Units: None (Integer).
Input Restrictions: As designed, but systems with more than 2 stages will be modeled with 2 stages.
Standard Design: The standard design shall be two for the single zone VAV baseline and packaged VAV baseline.
Total Cooling Capacity Ratio by Stage
Applicability: Single zone VAV systems and DX systems with multiple stages.
Definition: This provides the total cooling capacity of each cooling stage, at AHRI rated conditions. The capacity is expressed as an array, with each entry a fraction of the total rated cooling capacity for the unit. For example, if the stage cooling capacity is 4 tons (48,000 Btu/h) and the total cooling capacity is 8 tons (96,000 Btu/h), the capacity is expressed as “0.50” for that stage.
Units: Array of fractions.
Input Restrictions: As designed.
Standard Design: For healthcare facilities, same as the Proposed Design. For all others, the default shall be (0.50, 1) for the single zone VAV baseline.
Condenser Type
Applicability: All direct expansion systems including heat pumps.
Definition: The type of condenser for a DX cooling system.
The choices are:
- Air-cooled
- Water-cooled
Units: List (see above).
Input Restrictions: As designed.
Standard Design: For healthcare facilities, same as the Proposed Design. For all others, based on the prescribed system type.
Refer to the HVAC System Map in Chapter 5.1.3 HVAC System Map
Supplementary DX Cooling Unit
Applicability: Required when no cooling system is specified, or can be added by the user when a zone has excessive unmet cooling load hours.
Definition: A supplementary DX cooling system that only operates when the thermostat cooling setpoint is not maintained by the proposed space conditioning equipment
Units: List.
Input Restrictions: The compliance software shall define the following prescribed system characteristics:
Cooling capacity – Auto-sized by compliance software.
System airflow – Auto-sized by compliance software.
Fan power – None, system is assumed to cycle on fan/compressor only when cooling is needed.
Efficiency – Minimum value specified by the Energy Code for a packaged DX system, based on the calculated net cooling capacity and assuming 3-phase equipment. No adjustment of efficiency for rated fan heat because system fan cycles on only when cooling coil is energized.
Economizer - none
Design supply air temperature - 55°F
Supply air temperature control - None
Standard Design: Not applicable. With the exception of the qualified Heating-Only System case, the standard design system always has cooling sized to meet the load.
This is equipment that cools without the use of a vapor compression cycle. This equipment is not applicable for the standard design.
Evaporative Cooling Type
Applicability: Systems with evaporative cooling.
Definition: The type of evaporative pre-cooler, including:
- Non-integrated direct
- Non-integrated indirect
- Non-integrated direct/Indirect
- Integrated direct
- Integrated indirect
- Integrated direct/indirect
An integrated cooler can operate together with compressor or CHW cooling. A non-integrated cooler will shut down the evaporative cooling whenever it is unable to provide 100 percent of the cooling required.
Units: List, see above.
Input Restrictions: As designed.
Standard Design: For healthcare facilities, same as the Proposed Design. For all others, not applicable
Evaporative Cooling System Capacity
Applicability: Systems with evaporative cooling.
Definition: The total sensible cooling capacity of the evaporative cooling system at design outdoor dry-bulb conditions. This value may be derived from other inputs of supply fan design air rated capacity (Chapter 5.7.3 Fan and Duct Systems), direct stage effectiveness, indirect stage effectiveness, and design outdoor conditions.
Units: None.
Input Restrictions: Not applicable.
Derived input. A supplementary DX cooling unit will be added to the zone if evaporative cooling is the only cooling source. See Chapter 5.7.5.2 Direct Expansion.
Standard Design: For healthcare facilities, same as the Proposed Design. For all others, not applicable.
Direct Stage Effectiveness
Applicability: Systems with evaporative cooling.
Definition: The effectiveness of the direct stage of an evaporative cooling system. Effectiveness is defined as:

Where:
- DirectEFF - The direct stage effectiveness
- Tdb - The entering air dry-bulb temperature
- Twb - The entering air wet-bulb temperature
- Tdirect - The direct stage leaving dry-bulb temperature
Units: Numeric (0 ≤ EFF ≤1).
Input Restrictions: As designed.
Standard Design: For healthcare facilities, same as the Proposed Design. For all others, not applicable.
Indirect Stage Effectiveness
Applicability: Systems with evaporative cooling.
Definition: The effectiveness of the indirect stage of an evaporative cooling system. Effectiveness is defined as:

Where:
- IndirectEFF - The indirect stage effectiveness
- Tdb - The entering air dry-bulb temperature
- Twb - The entering air wet-bulb temperature
- Tindirect - The direct stage leaving dry-bulb temperature
Units: Numeric (0 ≤ EFF ≤1).
Input Restrictions: As designed.
Standard Design: For healthcare facilities, same as the Proposed Design. For all others, not applicable.
Evaporative Cooling Performance Curves
Applicability: Systems with evaporative cooling.
Definition: A curve that varies the evaporative cooling effectiveness as a function of primary air stream airflow. The default curves are given as:

Where:
- PLR - Part load ratio of airflow based on design airflow
- EFFFFLOW - A multiplier on the evaporative cooler effectiveness to account for variations in part load
- CFMoperating - Operating primary air stream airflow (cfm)
- CFMdesign - Design primary air stream airflow (cfm)
Units: Data structure.
Input Restrictions: User may input curves or use default curves. If defaults are overridden, the compliance software must indicate that supporting documentation is required on the output forms.
Standard Design: For healthcare facilities, same as the Proposed Design. For all others, not applicable.
Auxiliary Evaporative Cooling Power
Applicability: Systems with evaporative cooling.
Definition: The auxiliary energy of the indirect evaporative cooler fan, and the pumps for both direct and indirect stages.
Units: Watts.
Input Restrictions: As designed.
Standard Design: Not applicable.
This chapter contains building descriptors required to model four-pipe fan coil systems.
Additional HVAC components (chiller, boiler, pumps) are needed to fully define this system. If a water-side economizer is specified with this system, refer to Chapter 5.8.4 Water-side Economizers for a list of applicable building descriptors.
Capacity Control Method
Applicability: Four-pipe fan coil systems.
Definition: The control method for the fan coil unit at the zone.
The following choices are available:
- Constant Fan Variable Flow
- Cycling Fan
- Variable Fan Constant Flow
- Variable Fan Variable Flow
Units: List (with choices above)
Input Restrictions: Not a user input. It comes from building descriptors for fan control and chiller loop flow control.
Standard Design: Not applicable.
Rated Gross Capacity
Applicability: Four-pipe fan coil systems.
Definition: The gross cooling capacity of the cooling coil.
Units: Btu/h.
Input Restrictions: None.
Standard Design: For healthcare facilities, the same as the Proposed Design with an adjustment to account for fan heat of the Standard Design. For all others, not applicable.
Cooling Coil Design Flow rate
Applicability: Four-pipe fan coil systems and chilled beams
Definition: The design flow rate of the cooling coil
Units: Gallons per minute (gpm)
Input Restrictions: None
Standard Design: For healthcare facilities, same as the Proposed Design. For all others, not applicable
Active and passive chilled beam systems may be modeled as four-pipe fan coils or similar system type if the compliance software does not explicitly support chilled beams. In this case, the FPFC fan flow rate is based on the induced air flow rate of the beam and modeled with no fan power.
Chilled Beam Name
Applicability: Chilled beams.
Definition: A unique name designating the chilled beam.
Units: None.
Input Restrictions: None.
Standard Design: For healthcare facilities, same as the proposed design. For all others, not applicable.
Chilled Beam Type
Applicability: Chilled beams.
Definition: Specification of the beam as active or passive.
Units: List:
- Active
- Passive
Input Restrictions: None.
Standard Design: For healthcare facilities, same as the proposed design. For all others, not applicable.
Design Cooling Capacity
Applicability: Chilled beams.
Definition: The designed cooling capacity of the chilled beam.
Units: Btu/h.
Input Restrictions: None.
Standard Design: For healthcare facilities, same as the Proposed Design. For all others, not applicable.
Design Chilled Water Temperature
Applicability: Chilled beams.
Definition: The minimum supplied chilled water temperature to the beam.
This is typically at least 2°F higher than the space dewpoint temperature at design conditions, to prevent condensation.
Units: °F.
Input Restrictions: None.
Standard Design: For healthcare facilities, same as the Proposed Design. For all others, not applicable.
Maximum Chilled Water Temperature
Applicability: Chilled beams.
Definition: The maximum supplied chilled water temperature to the beam. This allows for chilled water temperature reset at the source.
Units: °F.
Input Restrictions: Should be equal to or greater than the design chilled water temperature.
Standard Design: For healthcare facilities, same as the Proposed Design. For all others, not applicable.
Active Beam Maximum Primary Flow Rate
Applicability: Chilled beams.
Definition: The design flow rate of the active fan.
Units: Cfm.
Input Restrictions: As designed.
Standard Design: For healthcare facilities, same as the Proposed Design. For all others, not applicable.
Active Beam Induced Air Rate
Applicability: Active chilled beams.
Definition: The rate at which induced air is drawn through the chilled beam.
The total airflow across the beam is the sum of the maximum primary flow rate and the active beam induced air flow rate.
Units: Cfm.
Input Restrictions: None.
Standard Design: For healthcare facilities, same as the Proposed Design. For all others, Not applicable.
Active Fan Static Pressure
Applicability: Chilled beams.
Definition: The design status of the active fan.
Units: in. of water.
Input Restrictions: None.
Standard Design: For healthcare facilities, the same as the Proposed Design with an adjustment to account for fan heat of the Standard Design. For all others, not applicable.
Active Fan Static Efficiency
Applicability: Chilled beams.
Definition: The fan static efficiency.
Units: In. of water.
Input Restrictions: Between 0 and 1.
Standard Design: For healthcare facilities, same as the Proposed Design. For all others, not applicable
Active Fan Motor Efficiency
Applicability: Chilled beams.
Definition: The motor efficiency of the fan.
Units: In. of water.
Input Restrictions: None.
Standard Design: For healthcare facilities, same as the Proposed Design. For all others, not applicable.
Chilled Beam Heating Capacity
Applicability: Chilled beams.
Definition: The heating capacity of the chilled beam.
Units: Btu/h.
Input Restrictions: None; defaults to 1 if no heating.
Standard Design: For healthcare facilities, same as the Proposed Design. For all others, not applicable.
Chilled Beam Heating Source
Applicability: Chilled beams.
Definition: Defaults to electric resistance, whether there is heating provided by the beam or not.
Units: None.
Input Restrictions: Electric resistance.
Standard Design: For healthcare facilities, same as the Proposed Design. For all others, not applicable.
CRANK CASE HEATER kW
Applicability: Air conditioners.
Definition: The capacity of the electric resistance heater in the crank case of a direct expansion (DX) compressor. The crank case heater operates only when the compressor is off.
Units: Kilowatts (kW).
Input Restrictions: Where applicable, the value is prescribed to be 10 W per ton (rated net cooling capacity).
Standard Design: Where applicable, the value is prescribed to be 10 W per ton (rated net cooling capacity)
CRANK CASE HEATER SHUTOFF TEMPERATURE
Applicability: All air source heat pumps and air conditioner.
Definition: The outdoor air dry-bulb temperature above which the crank case heater is not permitted to operate.
Units: Degrees Fahrenheit (°F).
Input Restrictions: Where applicable, the value is prescribed to be 50°F.
Standard Design: Where applicable, the value is prescribed to be 50°F.
HEATING SOURCE
Applicability: All systems that provide heating.
Definition: The source of heating for the heating coils. The choices are:
- Hot water
- Electric resistance
- Electric heat pump
- Gas furnace
- Oil furnace
- VRF
Units: List (see above).
Input Restrictions: As designed. Electric heat pumps may have an additional coil to be used as supplemental heat. See section below. Electric resistance heating system shall ot be used for healthcare facilities space heating unless ite meets one of the exceptions to Section 140.4(g) in the Energy Code.
Standard Design: For Healthcare facilities, same as the Proposed Design. For all others, based on the prescribed system type. Refer to the HVAC system map in Chapter 5.1.3 HVAC System Map.
Standard Design: Existing Building: Same as proposed if unaltered.
GROSS HEATING COIL CAPACITY
Applicability: All systems with a heating coil.
Definition: The heating capacity of a heating coil or packaged heat pump at AHRI conditions.
For packaged or VRF equipment that has the fan motor in the air stream such that it adds heat to the supply air, the compliance software shall calculate the net heating capacity as follows:
For packaged or VRF equipment that has the fan motor in the air stream such that it adds heat to the supply air, the compliance software shall calculate the net heating capacity as follows:
Net Heating Capacity = CapTotGrossRtd + FanHtRtd
Where:
- Net Heating Capacity - The net total heating capacity of a packaged unit as rated by AHRI (Btu/h)
- CapTotGrossRtd - The gross heating capacity of a packaged unit (Btu/h)
- FanHtRtd - Qfan,rated; the heat generated by the fan. See ‘Gross Cooling Capacity’
Units: Btu/h.
Input Restrictions: As designed.
Standard Design: For healthcare facilities, the gross total cooling capacity is the same as the Proposed Design with an adjustment to account for fan heat of the Standard Design. For all other cases, the capacity is auto sized, see Chapter 2.6.2 Sizing Equipment in the Standard Design.
Standard Design: Existing Building: Same as proposed if unaltered.
DESIGN WATER FLOW RATE
Applicability: Hot water coils and water-cooled DX coils.
Definition: The design flow rate of the hot water coil or the condenser coil of a water-source heat pump.
Units: Gallons per minute (gpm).
Input Restrictions: None. Default based on gross capacity of the hot water coil or cooling heat rejection load of a water-source heat pump coil at the design deltaT of the attached hydronic loop.
Standard Design: For healthcare facilities, same as the Proposed Design. For all others, not applicable.
DESIGN PRESSURE DROP
Applicability: Hot water coils and water-cooled DX coils.
Definition: The design pressure drop through the hot water coil or the condenser coil of a water-source heat pump.
Units: Feet of water (ftH2O).
Input Restrictions: None. Default to 5ft.
Standard Design: For healthcare facilities, same as the Proposed Design. For all others, not applicable.
Furnace Fuel Heating Efficiency
Applicability: Systems with a furnace.
Definition: The full load thermal efficiency of either a gas or oil furnace at design conditions. The compliance software must accommodate input in either thermal efficiency (Et) or annual fuel utilization efficiency (AFUE). Where AFUE is provided, Et shall be calculated as:
Et = 0.0051427 * ( FurnAFUE * 100 ) ) + 0.3989
Where:
- AFUE - The annual fuel utilization efficiency (%)
- Et - The thermal efficiency (fraction)
Units: Fraction.
Input Restrictions: As designed.
Standard Design: Use the minimum heating efficiency from the Energy Code for the applicable equipment type and capacity.
Furnace Fuel Heating Part Load Efficiency Curve
Applicability: Systems with a furnace.
Definition: An adjustment factor that represents the percentage of full load fuel consumption as a function of the percentage full load capacity. This curve shall take the form of a quadratic equation as follows:
Fuelpartload = Fuelrated × FHeatPLC
FHeatPLC = a+b(Qpartload⁄(Qrated)+c(Qpartload⁄(Qrated)2
Where:
- FHeatPLC - The fuel heating part load efficiency curve
- Fuelrated - The fuel consumption at part load conditions (Btu/h)
- Qpartload - The capacity at part load conditions (Btu/h)
- Qrated - The capacity at rated conditions (Btu/h)
Units: Data structure.
Input Restrictions: Where applicable, curves are prescribed based on system type, see Appendix 5.7.
Standard Design: Use prescribed curves as described above.
Furnace Fuel Heating Pilot
Applicability: Systems that use a furnace for heating.
Definition: The fuel input for a pilot light on a furnace.Units: Btu/h.
Input Restrictions: As designed.
Standard Design: Zero (pilotless ignition).
Furnace Fuel Heating Fan/Auxiliary
Applicability: Systems that use a furnace for heating.
Definition: The fan energy in forced draft furnaces and the auxiliary (pumps and outdoor fan) energy in fuel-fired heat pumps.
Units: Kilowatts (kW).
Input Restrictions: As designed.
Standard Design: For healthcare facilities, same as the Proposed Design. For all others, not applicable.
ELECTRIC HEAT PUMP SUPPLEMENTAL HEATING SOURCE
Applicability: All heat pumps.
Definition: The auxiliary heating source for a heat pump heating system.
The common control sequence is to lock out the heat pump compressor when the supplemental heat is activated. Other building descriptors may be needed if this is not the case. Choices for supplemental heat include:
- Electric resistance
- Gas furnace
- Oil furnace
- Hot water
- Other
Units: List (see above).
Input Restrictions: As designed.
Standard Design: For healthcare facilities, same as the proposed design. For all others, refer to the HVAC system map in Chapter 5.1.3 HVAC System Map for the prescribed type.
ELECTRIC HEAT PUMP HEATING EFFICIENCY
Applicability: All heat pumps.
Definition: The heating efficiency of a heat pump at AHRI rated conditions as a dimensionless ratio of output over input. The compliance software must accommodate user input of either the coefficient of performance (COP) or the heating season performance factor (HSPF/HSPF2). Where HSPF/HSPF2 is provided, COP shall be calculated as:

For all unitary and applied equipment where the fan energy is part of the equipment efficiency rating, the COP shall be adjusted as follows to remove the fan energy:

Where:
- COPadj - The adjusted coefficient of performance for simulation purposes
- COP - The AHRI rated coefficient of performance
- HCAPrated - The AHRI rated heating capacity of a packaged unit (kBtu/h)
- Qfan, rated - The heat generated by the fan at AHRI rated conditions. See Gross Cooling Capacity
Units: unitless.
Input Restrictions: As designed. A conversion factor is used to convert HSPF to HSPF2 ratings for modeling. For split system, small-duct high-velocity, and space-constrained equipment, the conversion factor is 0.85 to convert HSPF to HSPF2. For single-package equipment, the conversion factor is 0.84 to convert HSPF to HSPF2.
Standard Design: Minimum heating efficiency form the Energy Code for the applicable equipment type.
ELECTRIC HEAT PUMP HEATING CAPACITY ADJUSTMENT CURVE(S)
Applicability: All heat pumps.
Definition: A curve or group of curves that represent the available heat-pump heating capacity as a function of evaporator and condenser conditions. The default curves are given as:

For air-cooled heat pumps:

For water-cooled heat pumps:

Where:
- Qavailable - Available heating capacity at present evaporator and condenser conditions (kBtu/h)
- tdb - The entering coil dry-bulb temperature (°F)
- twt - The water supply temperature (°F)
- todb - The outside-air dry-bulb temperature (°F)
- Qrated - Rated capacity at AHRI conditions (in kBtu/h)
Units: Data structure.
Input Restrictions: Where applicable, curves are prescribed based on system type, see Appendix 5.7.
Standard Design: Use prescribed curves as described above.
ELECTRIC HEAT PUMP HEATING EFFICIENCY ADJUSTMENT CURVE(S)
Applicability: All heat pumps.
Definition: A curve or group of curves that varies the heat pump heating efficiency as a function of evaporator conditions, condenser conditions and part-load ratio. The default curves are given as:


Air-Source Heat Pumps:

Water-Source Heat Pumps:


Where:
- PLR - Part-load ratio based on available capacity (not rated capacity)
- EIRFPLR - A multiplier on the EIR of the heat pump as a function of part-load ratio
- EIRFt - A multiplier on the EIR of the heat pump as a function of the wet-bulb temperature entering the coil and the outdoor dry-bulb temperature
- Qoperating - Present load on heat pump (Btu/h)
- Qavailable - Heat pump available capacity at present evaporator and condenser conditions (Btu/h)
- tdb - The entering coil dry-bulb temperature (°F)
- twt- The water supply temperature (°F)
- todb - The outside air dry-bulb temperature (°F)
- Prated - Rated power draw at AHRI conditions (kW)
- Poperating - Power draw at specified operating conditions (kW)
Units: None.
Input Restrictions: Where applicable, curves are prescribed based on system type, see Appendix 5.7.
Standard Design: Use prescribed curves as described above.
ELECTRIC HEAT PUMP SUPPLEMENTAL HEATING CAPACITY
Applicability: All heat pumps.
Definition: The design heating capacity of a heat pump supplemental heating coil.
Units: Btu/h.
Input Restrictions: As designed.
Standard Design: For healthcare facilities, same as the proposed design. For all systems with heat pumps, auto-size, refer to Chapter 2.6.2 Sizing Equipment in the Standard Design.
ELECTRIC SUPPLEMENTAL HEATING CONTROL TEMP
Applicability: All heat pumps.
Definition: The outside dry-bulb temperature below which the heat pump supplemental heating is allowed to operate.
Units: Degrees Fahrenheit (°F).
Input Restrictions: As designed; default to 40°F.
Standard Design: For healthcare facilities, same as the Proposed Design. For buildings with heat pumps, no lockout, supplemental heat is allowed to operate whenever the heat pump cannot meet the load (supplemental gas heat), 45°F. For all other heat pumps 35°F
HEAT PUMP COMPRESSOR MINIMUM OPERATING TEMP
Applicability: All heat pumps.
Definition: The outside dry-bulb temperature below which the heat pump compressor is disabled.
Units: Degrees Fahrenheit (°F).
Input Restrictions: As designed.
Standard Design: For healthcare facilities, same as the Proposed Design. For dual-fuel heat pumps, 45 °F. For all others heat pumps, 17 °F.
COIL DEFROST
Applicability: Air-cooled electric heat pump.
Definition: The defrost control mechanism for an air-cooled heat pump.
The choices are:
- Hot-gas defrost, on-demand
- Hot-gas defrost, timed 3.5 minute cycle
- Electric resistance defrost, on-demand
- Electric resistance defrost, timed 3.5 minute cycle
Defrost shall be enabled whenever the outside air dry-bulb temperature drops below 40°F.
Units: List (see above).
Input Restrictions: Default to use hot-gas defrost, timed 3.5 minute cycle. User may select any of the above.
Standard Design: For healthcare facilities, same as the proposed design. For all other heat pumps, hot-gas defrost, timed 3.5 minute cycle.
COIL DEFROST kW
Applicability: Heat pumps with electric resistance defrost.
Definition: The capacity of the electric resistance defrost heater.
Units: Kilowatts (kW).
Input Restrictions: As designed; defaults to 0 if nothing is entered.
Standard Design: For healthcare facilities, same as the Proposed Design. For all others, not applicable.
CRANK CASE HEATER kW
Applicability: All air source heat pumps.
Definition: The capacity of the electric resistance heater in the crank case of a direct expansion (DX) compressor. The crank case heater operates only when the compressor is off.
Units: Kilowatts (kW).
Input Restrictions: Where applicable, the value is prescribed to be 10 W per ton (rated new cooling capacity).
Standard Design: Where applicable, the value is prescribed to be 10 W per ton (rated new cooling capacity).
CRANK CASE HEATER SHUTOFF TEMPERATURE
Applicability: All air source heat pumps.
Definition: The outdoor air dry-bulb temperature above which the crank case heater is not permitted to operate.
Units: Degrees Fahrenheit (°F).
Input Restrictions: Where applicable, the value is prescribed to be 50°F.
Standard Design: Where applicable, the value is prescribed to be 50°F.
RECOVERY TYPE
Applicability: All systems with airside heat recovery.
Definition: The type of heat recovery system.
Units: List: sensible, latent, or total (sensible and latent).
Input Restrictions: As designed.
Standard Design: For healthcare facilities, same as the Proposed Design.
For all others, sensible if impacted based on requirements in 140.4(q). Not applicable for all systems.
Standard Design: Existing Buildings: For healthcare facilities, same as the proposed design.
For all others, sensible if impacted based on requirements in 140.4(q). Not applicable for all systems.
RECOVERY AIR FLOW RATE
Applicability: All systems with airside heat recovery.
Definition: The design air flow rate through the heat recovery system.
Units: CFM.
Input Restrictions: As designed.
Standard Design: For healthcare facilities, same as the Proposed Design.
For all others, equal to the design outdoor air flow rate, assume balanced flow if impacted based on requirements in 140.4(q). Not applicable for all systems.
Standard Design: Existing Buildings: Assume balanced flow if impacted based on requirements in 140.4(q). Not applicable for all systems.
EXHAUST AIR SENSIBLE HEAT RECOVERY EFFECTIVENESS
Applicability: Any system with outside air heat recovery.
Definition: The effectiveness of an air-to-air heat exchanger between the building exhaust and entering outside air streams. Effectiveness is defined as:

Where:
- HREFF - The air-to-air heat exchanger effectiveness
- EEAdb - The exhaust air dry-bulb temperature entering the heat exchanger
- ELAdb - The exhaust air dry-bulb temperature leaving the heat exchanger
- OSAdb- The outside air dry-bulb temperature
Units: Two unitless numbers (ratio between 0 and 1), separate for cooling and heating
Input Restrictions: As designed.
Standard Design: For healthcare facilities, the sensible effectiveness is 60% if the Proposed Design has heat recovery.
For all others, the sensible effectiveness is 60% if using for HVAC systems impacted based on requirements in 140.4(q). Not applicable for all systems.
Standard Design: Existing Buildings: The sensible effectiveness is 60% if using for HVAC systems impacted based on requirements in 140.4(q). Not applicable for all systems.
EXHAUST AIR SENSIBLE PART-LOAD EFFECTIVENESS
Applicability: Any system with outside air heat recovery.
Definition: The effectiveness of an air-to-air heat exchanger between the building exhaust and entering outside air streams at 75 percent of design airflow. Effectiveness is defined as:

Where:
- HREFF - The air-to air heat exchanger effectiveness
- EEAdb - The exhaust air dry-bulb temperature entering the heat exchanger
- ELAdb - The exhaust air dry-bulb temperature leaving the heat exchanger
- OSAdb- The outside air dry-bulb temperature
Units: Two unitless numbers (ratio between 0 and 1), separate for cooling and heating
Input Restrictions: As designed.
Standard Design: For healthcare facilities, the sensible effectiveness is 60% if the Proposed Design has heat recovery.
For all others, the sensible effectiveness is 65% if using for HVAC systems impacted based on requirements in 140.4(q). Not applicable for all systems.
Standard Design: Existing Buildings: The sensible effectiveness is 65% if using for HVAC systems impacted based on requirements in 140.4(q). Not applicable for all systems.
EXHAUST AIR LATENT HEAT RECOVERY EFFECTIVENESS
Applicability: Any system with outside air enthalpy heat recovery.
Definition: The latent heat recovery effectiveness of an air-to-air heat exchanger between the building exhaust and entering outside air streams. Effectiveness is defined as:

Where:
- HREFF - The air-to-air heat exchanger effectiveness
- EEAW - The exhaust air humidity ratio (fraction of mass of moisture in the air to mass of dry air) entering the heat exchanger
- ELAW - The exhaust air humidity ratio leaving the heat exchanger
- OSAW - The outside air humidity ratio
Note: For sensible heat exchangers, this term is not applicable
Units: Two unitless numbers (ratio between 0 and 1), separate for cooling and heating.
Input Restrictions: As designed.
Standard Design: Not applicable.
Standard Design: Existing Buildings: Not applicable.
EXHAUST AIR LATENT PART-LOAD EFFECTIVENESS
Applicability: Any system with outside air enthalpy heat recovery.
Definition: The latent heat recovery effectiveness of an air-to-air heat exchanger between the building exhaust and entering outside air streams at 75 percent of design airflow. Effectiveness is defined as:

Where:
- HREFF - The air-to-air heat exchanger effectiveness
- EEAW - The exhaust air humidity ratio (fraction of mass of moisture in the air to mass of dry air) entering the heat exchanger
- ELAW - The exhaust air humidity ratio leaving the heat exchanger
- OSAW - The outside air humidity ratio
Note: For sensible heat exchangers, this term is not applicable.
Units: Two unitless numbers (ratio between 0 and 1), separate for cooling and heating.
Input Restrictions: As designed.
Standard Design: Not applicable.
HEAT RECOVERY ECONOMIZER LOCKOUT
Applicability: All systems with airside heat recovery.
Definition: A flag to indicate whether or not heat recovery is bypassed when economizer is enabled.
Units: Boolean.
Input Restrictions: As designed.
Standard Design: For healthcare facilities heat recovery, energy recovery bypass during economizer operation.
For all others, heat recovery bypass during economizer operation for HVAC systems impacted based on requirements in 140.4(q). Not applicable for all systems
Standard Design: Existing Buildings: The economizer is disabled for HVAC systems impacted based on requirements in 140.4(q). Not applicable for all systems.
